
Product name: α-Ketovaline Calcium
Chemical name: calcium alpha-ketovaline; α-KETOVALINE CALCIUM; calcium bis(3-methyl-2-oxobutanoate); butanoate, 3-methyl-2-oxo-, calcium salt (2:1); Calcium α-ketovaline
Molecular formula: C10H14CaO6
Molecular weight: 270.29
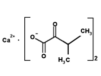
Structural formula:

CAS #: 51828-94-5
Approved by CFDA
Approved by GMP certification
Appearance:
white or almost white crystal powder; bitter taste
Content: 98.5%-102.0%
Content: 98.5%-102.0%
Packaging:Packaged in multi-layer craft paper drum with food grade PE inner bag and a shading inner bag.
Specification: 25kg/drum